ಮನಿ ಲಾಂಡ್ರಿಂಗ್ ಹೆಸರಿನಲ್ಲಿ ಡಿಜಿಟಲ್ ಅರೆಸ್ಟ್ ಬೆದರಿಕೆ…ವೈದ್ಯರೊಬ್ಬರಿಗೆ 82.10 ಲಕ್ಷ ಉಂಡೆನಾಮ…
- TV10 Kannada Exclusive
- December 8, 2025
- No Comment
- 99




ಮನಿ ಲಾಂಡ್ರಿಂಗ್ ಹೆಸರಿನಲ್ಲಿ ಡಿಜಿಟಲ್ ಅರೆಸ್ಟ್ ಬೆದರಿಕೆ…ವೈದ್ಯರೊಬ್ಬರಿಗೆ 82.10 ಲಕ್ಷ ಉಂಡೆನಾಮ…
ಮೈಸೂರು,ಡಿ8,Tv10 ಕನ್ನಡ
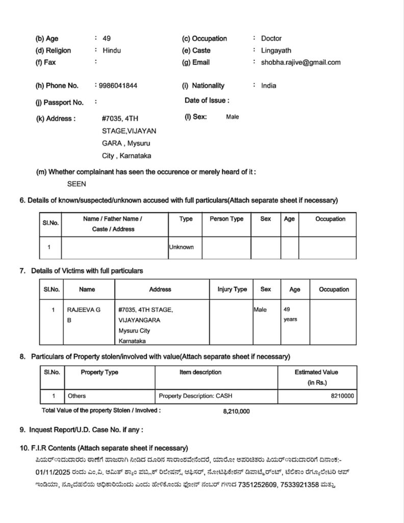
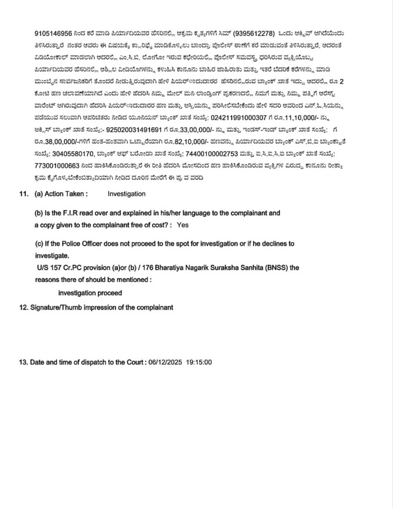
ಮನಿಲಾಂಡ್ರಿಂಗ್ ಗೆ ನಿಮ್ಮ ಖಾತೆ ಬಳಕೆ ಆಗಿದೆ.ನಿಮ್ಮ ಮೊಬೈಲ್ ಸಂಖ್ಯೆಯಿಂದ ಅಶ್ಲೀಲ ವಿಡಿಯೋ,ಕಾನೂನು ಬಾಹಿರ ಜಾಹೀರಾತು ಹಾಗೂ ಬೆದರಿಕೆ ಕರೆಗಳನ್ನ ಮಾಡಿ ಮುಂಬೈ ಸಾರ್ವಜನಿಕರಿಗೆ ತೊಂದರೆ ನೀಡುತ್ತಿರುವುದಾಗಿ ನಿಮ್ಮ ಖಾತೆಯಿಂದ 2 ಕೋಟಿ ಹಣ ಚಲಾವಣೆ ಆಗಿದೆ ಮನಿಲಾಂಡ್ರಿಂಗ್ ಪ್ರಕರಣದಲ್ಲಿ ನಿಮ್ಮ ಹಾಗೂ ನಿಮ್ಮ ಪತ್ನಿಯನ್ನ ಅರೆಸ್ಟ್ ಮಾಡುವುದಾಗಿ ಬೆದರಿಸಿ ಡಿಜಿಟಲ್ ಅರೆಸ್ಟ್ ಮಾಡಿ 82.10 ಲಕ್ಷ ಲಪಟಾಯಿಸಿದ ಪ್ರಕರಣ ಮೈಸೂರು ಸೆನ್ ಪೊಲೀಸ್ ಠಾಣೆಯಲ್ಲಿ ದಾಖಲಾಗಿದೆ.ವಿಜಯನಗರ ನಿವಾಸಿ ವೃತ್ತಿಯಲ್ಲಿ ವೈದ್ಯರಾದ ರಾಜೀವ್ ಎಂಬುವರೇ ಹಣ ಕಳೆದುಕೊಂಡವರು.ನವೆಂಬರ್ 1 ರಂದು ವ್ಯಕ್ತಿಯೊಬ್ಬ ಕರೆ ಮಾಡಿ ತಾನು ಟೆಲಿಕಾಂ ರೆಗ್ಯಲೇಷನ್ ಆಫ್ ಇಂಡಿಯಾ,ನೋಟಿಫಿಕೇಷನ್ ಡಿಪಾರ್ಟ್ ಮೆಂಟ್ ನವದೆಹಲಿ ಯ ಪಿಆರ್ ಓ ಎಂದು ಪರಿಚರಿಸಿಕೊಂಡು ನಿಮ್ಮ ಹೆಸರಿನ ಸಿಮ್ ಒಂದು ಅಕ್ರಮ ಕೃತ್ಯಗಳಿಗೆ ಆಕ್ಟಿವ್ ಆಗಿದೆ ಎಂದು ಬೆದರಿಸಿ ಭಾಂದ್ರಾ ಪೊಲೀಸ್ ಠಾಣೆಗೆ ಫೋನ್ ಮಾಡುವಂತೆ ಸೂಚನೆ ನೀಡಿದ್ದಾನೆ.ವಂಚಕನ ಮಾತನ್ನ ನಂಬಿದ ರಾಜೀವ್ ರವರು ಫೋನ್ ಮಾಡಿದಾಗ ವ್ಯಕ್ತಿಯೊಬ್ಬ ಪೊಲೀಸ್ ಅಧಿಕಾರಿ ಸಮವಸ್ತ್ರ ಧರಿಸಿ ಹಿಂದೆ ಎಸಿಬಿ ಲೋಗೋ ಕಾಣಿಸುವಂತೆ ಕುಳಿತು ಬೆದರಿಸಿ ನಿಮ್ಮ ಆಸ್ತಿ ಪರಿಶೀಲನೆ ಮಾಡಬೇಕೆಂದು ತಿಳಿಸಿ ಬ್ಯಾಂಕ್ ಖಾತೆ ವಿವರ ಪಡೆದುಕೊಂಡು ವಿವಿದ ಬ್ಯಾಂಕ್ ಗಳಿಂದ 82.10 ಲಕ್ಷ ವರ್ಗಾವಣೆ ಮಾಡಿಕೊಂಡು ವಂಚಿಸಿದ್ದಾರೆ.ವಂಚನೆಗೆ ಒಳಗಾದ ವೈದ್ಯ ರಾಜೀವ್ ಸೆನ್ ಪೊಲೀಸ್ ಠಾಣೆಯಲ್ಲಿ ಪ್ರಕರಣ ದಾಖಲಿಸಿದ್ದಾರೆ…